Since his initial arrest in December 2016 Thomas Chantry has been represented by John Sears, one of the top attorney’s in Arizona. Sears doesn’t come cheap, leaving me to wonder who is bankrolling Chantry’s defense?

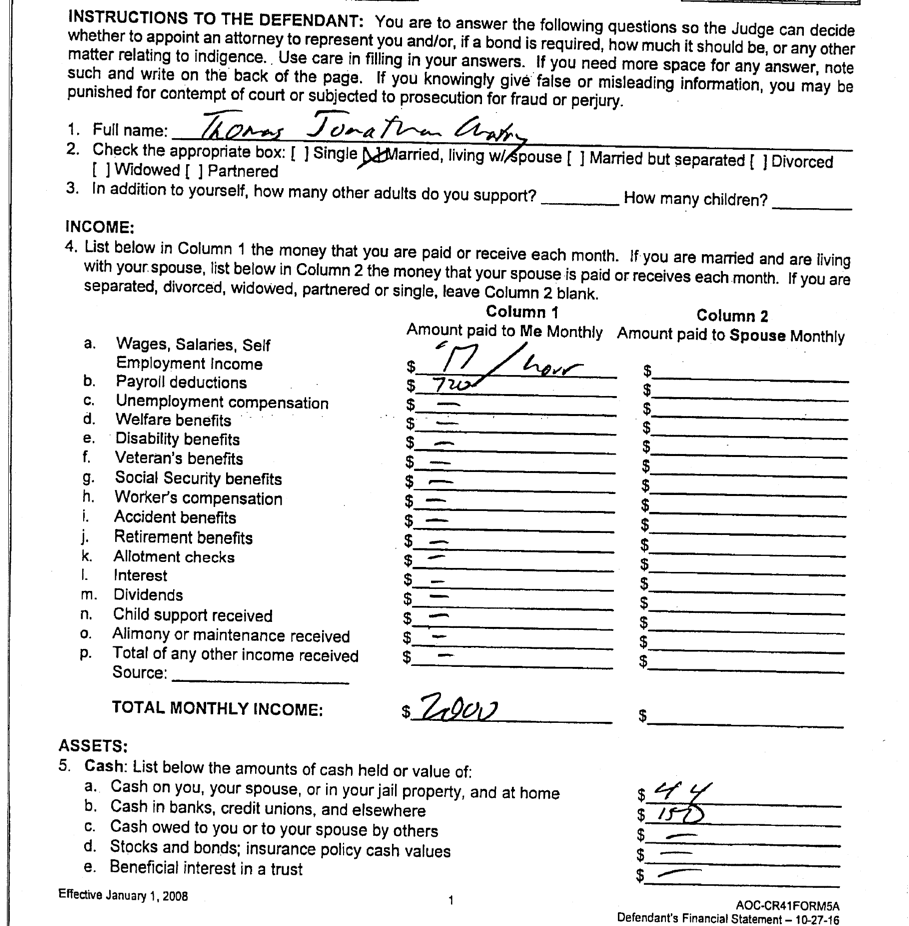
Documents Chantry filled out at the time of his most recent arrest on September 10th indicate Chantry has an income of $2,000 per month. That would perhaps purchase you four hours of John Sears’ services.
My guess is Al Huber, Chantry’s father-in-law is the individual largely responsible for bankrolling Chantry’s defense. Huber owns “NAFCO” a successful machine shop that employs 43 people. I guess the number of employees is now 42 since Chantry has been arrested. That’s right, in addition to likely being the source of Chantry’s defense fund, Huber also employed Chantry as a “buyer of raw material/manufacturing.” Perhaps Chantry also takes a turn leading the weekly bible study for NAFCO employees!

 
